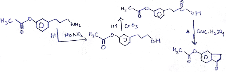
The major product of the following reaction is :
Alcohol formation by reduction of esters -
Yields two alcohols
- wherein
Acidic and basic hydrolysis of Esters -
Acidic hydrolysis gives carboxylic acid directly. Basic hydrolysis gives carboxylates which acidify to give the carboxylic acid.
- wherein

As we have learned

Option 2)
Option 3)
Option 4)
Study 40% syllabus and score up to 100% marks in JEE