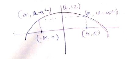
The maximum area (in sq. units) of a rectangle having its base on the x-axis and its other two vertices on the parabola, such that the rectangle lies inside the parabola, is :
Standard equation of parabola -
- wherein

Option 2)
Study 40% syllabus and score up to 100% marks in JEE