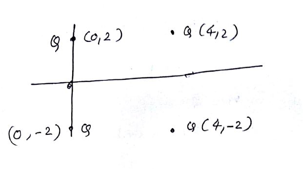
Four equal point charges Q each are placed in the xy plane at (0,2), (4,2), (4, -2) and (0, -2). The work required to put a fifth charge Q at the ogigin of the coordinate system will be :
Potential Energy Of a System Of n Charge -
- wherein
For system of 3 charges.
Vorigin =
Work required to put a 5th charge Q at origin
= Q Vorigin
Study 40% syllabus and score up to 100% marks in JEE