Get Answers to all your Questions

header-bg qa

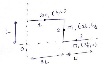
 The position vector of the centre of mass \vec{r} cm of an asymmetric uniform bar of negligible area of cross- section as shown in figure is :

  • Option 1)

     \vec{r}_{cm} = \frac{11}{8} L \hat{x} + \frac{3}{8} L \hat{y}

  • Option 2)

     \vec{r}_{cm} = \frac{5}{8} L \hat{x} + \frac{13}{8} L \hat{y}

  • Option 3)

    \vec{r}_{cm} = \frac{3}{8} L \hat{x} + \frac{11}{8} L \hat{y}

  • Option 4)

    \vec{r}_{cm} = \frac{13}{8} L \hat{x} + \frac{5}{8} L \hat{y}

Answers (1)

best_answer

 

Centre of Mass of a system of N discrete particles -

x_{cm}=\frac{m_{1}x_{1}+m_{2}x_{2}.........}{m_{1}+m_{2}.......}y_{cm}=\frac{m_{1}y_{1}+m_{2}y_{2}+m_{3}y_{3}.........}{m_{1}+m_{2}+m_{3}.......}

z_{cm}=\frac{m_{1}z_{1}+m_{2}z_{2}+m_{3}z_{3}.........}{m_{1}+m_{2}+m_{3}.......}

- wherein

m1, m2 ........... are mass of each  particle  x1, x2 ..........y1, y2 ............ z1, z2 are respectively x, y, & z coordinates of particles.

Let mass of bar with lehgth L=m

so Figure can be shown as

 

X_{cm}=\frac{m_{1}x_{1}+m_{2}x_{2}+m_{3}x_{3}}{m_{1}+m_{2}+m_{3}}

=\frac{2m\times L+m\times \left ( 2L \right )+m\times \left ( \frac{5L}{2} \right )}{4m}

X_{cm}=\frac{13}{8}L

Similarly 

Y_{cm}=\frac{2m\times L+m\times \frac{L}{2}+m\times 0}{4m}=\frac{5}{8}L

Y_{cm}=\frac{5}{8}L


Option 1)

 \vec{r}_{cm} = \frac{11}{8} L \hat{x} + \frac{3}{8} L \hat{y}

Option 2)

 \vec{r}_{cm} = \frac{5}{8} L \hat{x} + \frac{13}{8} L \hat{y}

Option 3)

\vec{r}_{cm} = \frac{3}{8} L \hat{x} + \frac{11}{8} L \hat{y}

Option 4)

\vec{r}_{cm} = \frac{13}{8} L \hat{x} + \frac{5}{8} L \hat{y}

Posted by

admin

View full answer

JEE Main high-scoring chapters and topics

Study 40% syllabus and score up to 100% marks in JEE