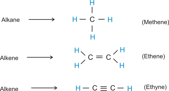
Why are certain compounds called hydrocarbons? Write the general formula for homologous series of alkanes, alkenes and alkynes and also draw the structure of the first member of each series. Write the name of the reaction that converts alkenes into alkanes and also write a chemical equation to show the necessary conditions for the reaction to occur.
Hydrocarbons are those compounds which contain only Hydrogen (H) and carbon (C)
Chemical Formula:-
Alkene converts into alkanes by addition reaction.
Conditions for conversion:
Catalyst is Nickel and temperature is
Reaction :
Ethene Hydrogen Ethane
Structure of first member of series
