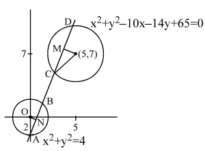
The equation of a line inclined at an angle to the axis , such that the two circles intercept equal lengths on it, is
Let equation of line be perpendicular from on is
Study 40% syllabus and score up to 100% marks in JEE
50 mL of 0.2 M ammonia solution is treated with 25 mL of 0.2 M HCl. If pKb of ammonia solution is 4.75, the pH of the mixture will be : Option: 1 3.75 Option: 2 4.75
JEE 2026: IIT admissions show major shift toward AI, data science, away from core engineering courses
JEE Main 2026: NIT Delhi cut-offs for BTech courses show ever-increasing demands for AI, computer skills
597 Eklavya school students clear JEE, NEET exams in 2024-25; Gujarat, MP lead
Create Your Account
To keep connected with us please login with your personal information by phone
Dont't have an account? Register Now