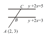
The equation of the lines through the point (2,3) and making an intercept of length 2 units between the lines are
none of these
Let line through be
is
which lies on
..........(1)
The condition is
Similarly, the condition for is
..........(2)
On eliminate from (1) and (2), we obtain
The lines are .
Hence option 1 is correct.
Study 40% syllabus and score up to 100% marks in JEE