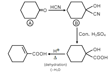
Complete the following reaction:
[C] is _____
NEET UG 2026 leak probe traces guess paper trail from Kerala student to Rajasthan network
'Replace NTA': FAIMA files plea in SC over NEET UG 2026 paper leak
NEET UG 2026 Paper Leak LIVE: Protests erupt across states, paper leak probe expands; re-NEET date soon
Create Your Account
To keep connected with us please login with your personal information by phone
Dont't have an account? Register Now